Residence Permits
Residence Permits
- The application for a residence permit and other inquieries can only be made by email.
- Please send the required documents in one pdf file to bsuprotect me ?!migrationsamt.bremenprotect me ?!.de
- After checking your application of a residence permit you will receive an appointment by e-mail for the inclusion of the biometric data and payment of the fees
- appointment to collect your residence permit after 4 weeks
| Purpose of stay | required documents |
| Study |
|
| language course in preparation for studies / application for studies |
|
| Looking for a job after studying in Germany |
|
| scientific stay |
|
| Family immigration |
|
| EU Blue Card |
|
settlement permit |
|
In addition, you can also submit a declaration of commitment to us in accordance with § 68 AufenthG.
The minimum monthly income currently required for this is 2.910,- Euro net for individuals.
The following documents must be submitted in advance as a pdf document by email:
- valid identity card or passport and, if applicable, residence permit
- certificates of earnings for the last 3 months
- employment contract or proof of the duration of employment
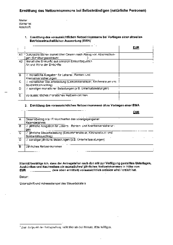
- for self-employed persons: Certificate of net income
Current fees (as of September 1, 2017):
- issuing of an electronic residence permit (eAT): 100 EUR
- extension of an electronic residence permit: 93 EUR
- extension of an electronic residence permit while changing the purpose of residence: 98 EUR
- re-issuing of an existing residence title (e.g. loss of passport or new passport): 67 EUR
- temporary residence permit (Fiktionsbescheinigung) (valid for up to three months): 13 EUR
- issuing of a supplementary document in the case of loss 15 EUR
The fees must be paid at the time of application in cash or by debit card (EC-Karte). Credit cards are not accepted.
Dokumente
Antrag_auf_Erteilung_ausfuellbar.pdf
File name: Antrag_auf_Erteilung_ausfuellbar.pdfLast update: 12.04.2023Verlaengerungsantrag_fuer_Erwachsene_ausfuellbar.pdf
File name: Verlaengerungsantrag_fuer_Erwachsene_ausfuellbar.pdfLast update: 12.04.2023Verlaengerungsantrag_fuer_Minderjaehrige_ausfuellbar.pdf
File name: Verlaengerungsantrag_fuer_Minderjaehrige_ausfuellbar.pdfLast update: 12.04.2023Erklärung zum Beschäftigungsverhältnis.pdf
File name: Erklaerung_zum_Beschaeftigungsverhaeltnis_2024.pdfLast update: 06.05.2024
FAQ
Which documents do I have to submit in order to obtain or extend a residence permit?
How long does it take to process an electronic residence title?
I have received the letter with the PIN; can I pick up my electronic residence title at the bsu straight away?
I am an international student of a Bremen university and live in the surrounding area of Bremen. Is the bsu also responsible for me?
How long may I stay in Germany for study purposes?
How many days a year am I allowed to work?
I am an international student of a university in the surrounding area of Bremen but live in the city of Bremen. Is the bsu responsible for me?
Wird ein Praktikum auf die arbeitsgenehmigungsfreie Beschäftigungszeit angerechnet?
I would like to take a semester off, change my course of study or my university. What do I need to consider?
I am doing a language course. Am I allowed to work at the same time?
I would like to drop out of my university preparatory course/studies and start vocational training. Can I change my residence permit for this purpose?
I have successfully graduated from university and would now like to apply for a residence permit while looking for employment. How long will this permit be valid?
Can I also apply for a job seekers residence permit as a visiting student?
I have already found a job for after graduation. Can I apply for a residence permit for employment at the bsu?
I already hold a degree from my home country and now I want to drop out of my German university studies in order to take up employment. Can I change my residence permit for this purpose?
Generally, according to section 16 (2) of the German Residence Act (Aufenthaltsgesetz, AufenthhG), this is not possible. First, you will have to leave the country and apply for a new entry visa at a German embassy or consulate abroad.
An exception could be obtaining an EU Blue Card for highly skilled workers.
You will find the requirements in Section 19a of the Residence Act.
Does the bsu also provide information about VISA procedures that are processed at German embassies or consulates abroad?
Can I apply for an EU Blue Card or a permanent residence permit (Niederlassungserlaubnis) at the bsu?
As a research assistant or professor at a Bremen university or research institution, you can apply for an EU Blue Card or a permanent residence permit at the bsu.
You will need the following additional documents:
- employment contract
- detailed job description
- proof of your monthly gross income
- graduation certificate from your German university or recognition of a foreign degree
- tenancy agreement
As long as you are working at an academic institution in Bremen, the bsu will be the competent authority for you.
I am currently working as an au pair in Bremen and would like to study here after my contract has finished. Can I apply at the bsu for an extension of my residence permit in order to study?





