Unter dem Motto „Looking back, moving forward“ hat das MAPEX 2025 mit einem Geburtstagssymposium auf zehn Jahre Zusammenarbeit in den Materialwissenschaften und ihren Technologien zurückgeschaut
MAPEX Center for Materials and Processes
Das MAPEX
Das Ziel des MAPEX ist die systemorientierte Erforschung und Entwicklung von Materialien und Prozessen für Anwendungen im Bereich der nachhaltigen Mobilität und Energie. Mit unserer Forschung in allen Disziplinen der Natur- und Ingenieurwissenschaften sowie der Mathematik streben wir ein vertieftes Verständnis der Beziehungen zwischen Prozessen, Eigenschaften und Leistung von Materialien an.
Das MAPEX bringt die Expertise von mehr als 1000 wissenschaftlichen und technischen Mitarbeitenden zusammen, von denen 480 an ihrer Promotion arbeiten. Die 55 Principal Investigators, 19 Associate Investigators, 20 Early Career Investigators stammen aus fünf verschiedenen Fachbereichen der Universität Bremen und sechs außeruniversitären Forschungsinstituten auf dem Campus der Universität.
Das MAPEX Center for Materials and Processes wurde 2014 als Research Governance des Wissenschaftsschwerpunktes Materialwissenschaften und ihre Technologien gegründet, mit dem Ziel:
- ein Kompetenznetzwerk im Bereich der Materialwissenschaften, Werkstofftechnik und Werkstoffverarbeitung aufzubauen
- die Sichtbarkeit der MAPEX Forschungslandkarte zu erhöhen
- Drittmittelprojekte zu beantragen und durchzuführen
- die kooperativen wissenschaftlichen Aktivitäten von Nachwuchswissenschaftler*innen zu unterstützen
- die interdisziplinäre Doktorand*innenausbildung zu unterstützen
- der gemeinsamen Beschaffung und Verwendung von wissenschaftlicher Ausstattung
- unseren Wissenschaftler*innen ein von Chancengleichheit, Diversität und Familienfreundlichkeit geprägtes Umfeld nach höchsten internationalen Standards zu bieten

Dr. Lars Henning startet als neuer Wissenschaftsmanager bei MAPEX

Masterstudiengang ProMat begrüßt neue Studierende

MAPEX Jubiläumssymposium 2025

Forschung aus der Uni an die Schule bringen

Millionenförderung für Raumfahrt- und Hafenforschung

Bis zu 30 Millionen Euro für den Technologietransfer

Bürgermeister Bovenschulte hat Universität Bremen besucht

Prestigeträchtiger ERC-Starting Grant für Astrobiologe Cyprien Verseux

Wissenschaft mit Witz: Promovierende verwandeln sich in Science Slammer*innen

Mithilfe von Pilzgeflechten Verpackungsmüll vermeiden

„Wissen um 11“ – Wie alte Museumsobjekte mit Computertomographie zu neuem Leben erweckt werden

Bremer Materialwissenschaften nehmen erste Hürde auf dem Weg zur Exzellenzförderung

Das fühlende Material. KI hilft Materialschäden zu erkennen

Aktuelle Ausschreibungen von MAPEX und dem MAPEX Gerätezentrum

Leibniz-Promotionspreis für Nicole Mensching

Magnetresonanz zur Erforschung des materiellen Kulturerbes

MINT-Camp für Schüler:innen

Science goes Public – Grüne Mikroben für den roten Planeten

Ausstellung am Deutschen Schifffahrtsmuseum – Digitale Einblicke in die maritime Geschichte

Science goes Public - Intelligente Besiedlung mit Robotern

Überleben auf dem Mars

Atome und Defekte: Zu Besuch in der Kristallografie

Durch medizinische Messtechnik die Heilungsschancen verbessern

Bremer Ingenieurpreis geht an Master-Studenten der Universität

Mehr als 500.000 € für KI-Forschung mit Quantensystemen

Paneldiskussion "Erkundung des Weltalls: Mensch versus Maschine"

Modellregion Industriemathematik entsteht in Bremen und umzu

Hackathon: Maritime Navigationsinstrumente zum Leben erwecken

DLR-Challenge gewonnen: Rauchmelder „erschnüffelt“ Brandquellen

Kick Off Event: Humans on Mars

Humans on Mars: Pathways Toward Sustainable Settlement
Bei unseren Early Career Researcher Workshops lernen junge Wissenschaftler:innen von der Uni Bremen Wissenschaftler:innen ‚von nebenan‘ kennen und vernetzen sich untereinander.

SCIENCE GOES PUBLIC! Von Insekten lernen

SCIENCE GOES PUBLIC! 6G für die Erde und den Weltraum

ERC Grant für MAPEX Mitglied Andreas Fischer

Auf dem Weg zur nächsten Energiespeicher-Generation

Gratulation: Drei Bremer Studienpreise für Abschlussarbeiten in MAPEX Gruppen

Universität Bremen an Mars-Simulation beteiligt

Förderung der DFG: Heisenberg-Stelle für MAPEX Mitglied

Forschung für nachhaltige Materialien und Technologien: Matena innovate! Center lanciert vier neue Projekte

Beruflich in die Welt der Forschung eintauchen und am MAPEX Zukunft gestalten

Historischer Erfolg: Uni Bremen wirbt erstmalig zwei Exzellenzcluster ein

Das MATENA innovate! Zentrum: Eine Brücke über das „Valley of Death“

Harmloses Aufladen: Eine Batterie, die sicher genug zum Essen wäre

Wie Bremer Forscher Weltraumstrahlung in Energie verwandeln wollen

MAPEX besucht Universität Cardiff

Von 3D-Druck bis Batterieforschung: Zwei Wege in die Zukunft der Technik

Quantenmaterialien: Neue DFG-Forschungsgruppe mit Bremer Beteiligung

Zwei Bremer Studienpreise für Arbeiten aus MAPEX Forschungsgruppen

Science goes Public: Wird 6G wird ab 2030 weltweit zur Verfügung stehen?

Materialforschung für Erde und Mars: Wie Daniel Meyer Bauteile widerstandsfähiger macht

Uni Bremen geht mit zwei Clusteranträgen ins Rennen um die Exzellenz

Uni Bremen als Vorreiterin: 30 Millionen Euro für erstes Zentrum für beschleunigten Technologietransfer

Exzellenzcluster-Teams der Universität Bremen zu Gast im Rathaus

„Mit Elektronen tanzen“ – auf dem Dancefloor mit Zink-Ionen Batterien

Auf Mars-Mission: Von Cyanobakterien zu Biokunststoff

moma future: Atmen im All

Maritime Materialien museal erfahrbar machen - Kooperationsprojekt mit dem Deutschen Schifffahrts Museum

Gekommen um zu bleiben

New MAPEX Postcard - 33

New MAPEX Postcard - 32

New MAPEX Postcard - 31

New MAPEX Postcard - 30

New MAPEX Postcard - 29

Der tiefe Blick ins Innere

New MAPEX Postcard - 28

Einbahnstraße für Elektronen

MAPEX Mitglieder Lutz Mädler und Udo Fritsching koordinieren neues DFG-Schwerpunktprogramm

Ungleichmäßiger Blutstrom fördert Entwicklung von Arteriosklerose

Zwei Millionen Euro für die KI-Forschung der Technomathematik

New MAPEX Postcard - 27

Dr.-Ing. Jérémy Epp in Project Review Panel des DESY berufen

PreciWind: Neues Messsystem für Windenergieanlagen

Dr. I. Okulov zum Associate Professor an der UrFU berufen

Den Fingerabdruck von Materialschäden erkennen

KI: Bremer Uni-Wissenschaftler zählen zu den einflussreichsten der Welt

3D-Druck: Neue Hightech-Anlage für Bremer Materialwissenschaften

Drei MAPEX Mitglieder an neuer DFG Forschungsgruppe beteiligt

Universität Bremen plant ein zentrales Großgerätezentrum für MAPEX
Was sind Nanopartikel? Nachwuchsforschende erklären es im Video

New MAPEX Postcard - 26

New MAPEX Postcard - 25

New MAPEX Postcard - 24

Newsletter 08

New MAPEX Postcard - 23

Kommen Shuttle-Bus und Car-Sharing-Auto bald von selbst vorgefahren?

BIMAQ übergibt Software zur Messung der Umströmung von Rotorblättern

„Biologische Pflaster“ könnte bei der Wundheilung helfen

U Bremen Excellence Chair Nicola Marzari

Neues DFG-Projekt zur Fertigung von Computer-Chips

Robotikexperte Michael Beetz wird Ehrendoktor in Schweden

„Doping“ für atomar dünne Materialen

New MAPEX Postcard - 22

SFB „Mikrokaltumformen“ beendet: Zwölf Jahre erfolgreiche Forschung

New MAPEX Postcard - 21

Newsletter 07

Extrem dünn, stabil und hell: Materialien für die Photonik von morgen

New MAPEX Postcard - 20

Großer Erfolg für die AG Fertigungstechnik bei der CIRP General Assembly - Daniel Meyer

Fertigungstechniker Bernhard Karpuschewski erhält Ehrendoktorwürde in Ungarn

Was ein Holzsplitter über eine Galionsfigur verrät

Zukunftstraum: "Mit grünem Treibstoff fliegen"

New MAPEX Postcard - 19

Newsletter 06

Quer durch alle MINT-Fächer: Neuer innovativer Master-Studiengang

ERC Advanced Grant für MAPEX Mitglied Lutz Mädler
Bionik-Forschungsvorhaben untersucht mechanische Eigenschaften von Außenskeletten

Bremer Physiker ermöglichen energieeffizienten Nanolaser

Mat4Rail: EU-Forschungsprojekt zur Bahn der Zukunft

New MAPEX Postcard - 18

Forschung für die LED-Tapete der Zukunft

New MAPEX Postcard - 17

Leibniz-Institut für Werkstofforientierte Technologien tritt Forschungsnetzwerk U Bremen Research Alliance bei

New MAPEX Postcard - 16

Kleine Bauteile ganz groß: Sonderforschungsbereich der Universität Bremen zeigt Mikrobauteile in illuminierter Fotoausstellung

Spitzenleistung beim wissenschaftlichen Nachwuchs: Zwei Graduiertenkollegs der Universität Bremen verlängert

Newsletter 05

11,5 Millionen Euro Förderung: Wissenschaftler erforschen Lebensdauer der Leistungselektronik von Windenergieanlagen

Hohe Anerkennung: Chemiker um MAPEX Mitglied Jens Beckmann gehören zu den ersten Nutzern von ultramodernen Röntgenlasern

New MAPEX Postcard - 15

Bremer Produktionstechniker erhält ERC Consolidator Grant

Doppelerfolg für die Universität Bremen: Ein neuer Sonderforschungsbereich bewilligt, ein weiterer verlängert

ERC Consolidator Grant für MAPEX Mitglied Fabio La Mantia

New MAPEX Postcard - 14

MAPEX Sprecher Prof. Lucio Colombi-Ciacchi erhält den Berninghausen-Preis für hervorragende Lehre

Gelungener Start
Graduate Lecture

Exzellenzstrategie: Bürgermeister Carsten Sieling macht sich ein Bild

New MAPEX Postcard - 13

navigare - Career Coaching for Women in Science

Kanadischer Gast wird „Research Ambassador“ für die Uni Bremen

Professor Ekkard Brinksmeier erhält Ehrenprofessur

Material 2.0: Concepts for Intelligent and Interconnected Materials

Freude an der Universität: IWT wird Leibniz-Institut

New MAPEX Postcard - 12

Erste Runde der Exzellenzstrategie: Universität Bremen hat sich mit fünf Cluster-Skizzen gut aufgestellt

Newsletter 04
Parameter gesucht: Neues DFG-Graduiertenkolleg an der Universität Bremen forscht zu mathematischen Modellen

Bremer Gymnasiasten bringen Maschinen das Lernen bei

Zwei internationale Raumfahrt-Masterstudiengänge starten an der Universität Bremen

Lutz Mädler in Berlin mit Gottfried Wilhelm Leibniz-Preis 2017 ausgezeichnet

Ready to use: new generation X-ray Microscope for MAPEX

Spielerische Grundlagenforschung auch für iPhones und iPads

New MAPEX Postcard - 11

Winzige Technologie mit maximaler Bedeutung: Neues Graduiertenkolleg an der Uni Bremen forscht zu Nanomaterialien

„Schule in Farbigen Zuständen!“

Bilderausstellung des SFB 747 vom 03.01.-19.01.2017

Lutz Mädler erhält Leibniz-Preis 2017

Nanotechnologie in Europa stärken

Impressions from visiting the LFM of elderly students from Bremen and Bielefeld

New MAPEX Postcard - 10
Schnelle Rauheitsmessung spiegelnder Oberflächen im Labormaßstab

Neighbor visit to OHB

Newsletter 03

Development of High-Temperature Inorganic Thermochromic Compounds

MAPEX ECI Daniel Meyer erhält Otto-Kienzle-Gedenkmünze

SFB 747 Bilderausstellung im Haus der Wissenschaft

New MAPEX Postcard - 9

Deutsche Forschungsgemeinschaft fördert ein Projekt aus der Chemie der Universität Bremen mit 420.000 Euro

Spielerische Grundlagenforschung

Newsletter 02

New MAPEX Postcard - 8

Bremer Chemiker benutzt neues Modell, um Wasserstoffatome mit Röntgenstrahlung zu finden

Erneuter Erfolg bei DFG: Uni und Partner werben zwei neue Sonderforschungsbereiche ein

Erfolgsquote 100 Prozent: DFG bewilligt alle drei Anträge der Universität Bremen für Graduiertenkollegs

6. VDI-Leichtbaukongress am 5./6. Juli 2016 in Bremen - Programm

New MAPEX Postcard - 7

„Doping“ für Nanopartikel: Bremer Verfahrenstechniker machen Material verträglicher für Mensch & Umwelt

New MAPEX Postcard - 6

Impressions from MOM meets MAPEX

Newsletter 01

DFG bewilligt Bremer Materialwissenschaftlern neuartiges Röntgenmikroskop

New MAPEX Postcard - 5

Wie baut man ein Flugzeug aus Plastik? Schüler lernen Materialwissenschaften der Universität Bremen kennen

New MAPEX Postcard - 4

Wissenschaftscampus 2016 – Das Sprungbrett für Frauen in die Forschung (Fraunhofer-Gesellschaft)
Labor auf Chip (IMSAS)

New MAPEX Postcard - 3

Geballte Kompetenz: Uni Bremen stärkt Kristallographie mit neuem Institut

New MAPEX Postcard - 2

New MAPEX Postcard - 1

Launch of MAPEX Instrument Database

MAPEX Mitglied ist Präsident der Internationalen Akademie für Produktionstechnik CIRP
Im Haus der Wissenschaft: Faszinierende Kristallographie

MAPEX PhD Research Grants 2015 - incoming and outgoing

MAPEX im Weserkurier: Goldene Aussichten

Vom Material bis zu dessen Verarbeitung: Das MAPEX-Zentrum der Universität Bremen stellt sich vor

Emerging extra-large pore zeolites as adsorbents for antibiotics: A comparative computational study

3D printing of composites of Martian regolith simulants and cyanobacterial biomass towards sustainable material production on Mars

Magnetically induced convection enhances water electrolysis in microgravity

Anaerobic digestion of cyanobacterial biomass for plant fertilizer production on Mars

Experimental and mathematical modeling of mass transfer dynamics of hydrogen bubbles on textured electrodes during electrochemical water splitting

Impact of in-situ heat treatment during additive manufacturing of Ti-6Al-4 V on the microstructure and mechanical properties after hot-isostatic pressing

Observation of Floquet states in graphene

A lanthanide MOF with nanostructured node disorder

Metal Sulfides as Potential Materials for Next Generation Lithium Ion Batteries: A Review

Controlled Synthesis of Copper Sulfide Nanoparticles in Oxygen‐Deficient Conditions Using Flame Spray Pyrolysis (FSP) and Its Potential Application

Impact of Gas Bubble Evolution Dynamics on Electrochemical Reaction Overpotentials in Water Electrolyser Systems

Effect of intrinsic heat treatment on the precipitate formation of X40CrMoV5–1 tool steel during laser-directed energy deposition: A coupled study of atom probe tomography and in situ synchrotron X-ray diffraction

Synthesis, structural and spectroscopic characterization of defect-rich forsterite as a representative phase of Martian regolith

Role of Trapping in Non-Volatility of Electrochemical Neuromorphic Organic Devices

Thermal properties of mullite-type SnAlBO₄ and SnGaBO₄

Amine Exchange of Aminoalkylated Phenols as Dynamic Reaction in Benzoxazine/Amine-Based Vitrimers

Photo Electrocatalytic Water Splitting Using Sn Doped In2S3 Homologous Series Synthesized in Oxygen Deficient Flame

Silica Aerogel in Microfluidic Channels: Synthesis, Chip Integration, Mechanical Reinforcement, and Characterization

Comparative study of bioanodes for microbial electrolysis cells operation in anaerobic digester conditions

Synthesis of a stable crystalline nitrene

Compensation of capacitive currents in high-throughput dielectrophoretic separators

Atomic vs. sub-atomic layer deposition: impact of growth rate on the optical and structural properties of MoS2 and WS2

Computational high-pressure chemistry: Ab initio simulations of atoms, molecules, and extended materials in the gigapascal regime

Rarefied gas flow in functionalized microchannels

Rapid simulation of glycoprotein structures by grafting and steric exclusion of glycan conformer libraries

Smart-Alloying – Liquid in-situ re-alloying in additive manufacturing

Depletion Type Organic Electrochemical Transistors and the Gradual Channel Approximation
](/fileadmin/_processed_/2/1/csm_PMD-core-2024_105f54ac4a.jpg)
PMD Core Ontology: Achieving semantic interoperability in materials science

Effect of ion-paring on the kinetics of redox systems with concentrated supporting electrolyte

Quantitative three-dimensional local order analysis of nanomaterials through electron diffraction

Toward a Complete Theory of Crystal Vibrations

Tidying up the conformational ensemble of a disordered peptide by computational prediction of spectroscopic fingerprints

A Machine-Learning-Based Approach for Solving Atomic Structures of Nanomaterials Combining Pair Distribution Functions with Density Functional Theory

Accurate structure models and absolute configuration determination using dynamical effects in continuous-rotation 3D electron diffraction data

Ceramic Open Cell Foams Featuring Plasmonic Hybrid Metal Nanoparticles for In Situ SERS Monitoring of Catalytic Reactions

Compensation of sintering deformation for components manufactured by metal binder jetting using numerical simulations

Flame Aerosol Synthesis of Metal Sulfides at High Temperature in Oxygen-Lean Atmosphere
Ga-induced delithiation of grain boundaries in a Li containing Al-based alloy

Identifying damage mechanisms of composites by acoustic emission and supervised machine learning

Material Discrimination in Nanoparticle Hetero-Aggregates by Analysis of Scanning Transmission Electron Microscopy Images

Memoryless drop breakup in turbulence

Nanoporous Gold: From Structure Evolution to Functional Properties in Catalysis and Electrochemistry

Stille vs. Suzuki - cross-coupling for the functionalization of diazocines
The MaMBA facility as a testbed for bioregenerative life support systems

Communication quality affects performance of astronauts and support teams through increased workload: Insights from the AMADEE-20 analog Mars mission

Dry-Adhesive Microstructures for Material Handling of Additively Manufactured and Deep-Rolled Metal Surfaces with Reference to Mars

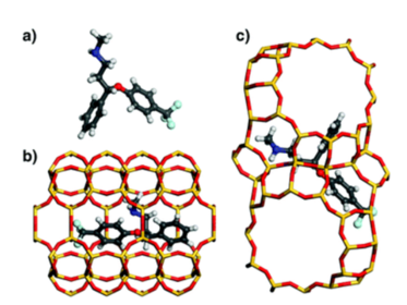
Truchet-tile structure of a topologically aperiodic metal–organic framework

Human habitats: prospects for infrastructure supporting astronomy from the Moon

On the growth dynamics of the cyanobacterium Anabaena sp. PCC 7938 in Martian regolith

Investigation of the dealloying front in partially corroded alloys

Disentangling catalysis and mass transport: Using diffusion measurements by pulsed field gradient NMR to reveal the microkinetics of CO oxidation over nanoporous gold

Identification of a HTT-specific binding motif in DNAJB1 essential for suppression and disaggregation of HTT

A vision for Human Mars Exploration made in Bremen

Ultrahigh Electron Thermal Conductivity in T-Graphene, Biphenylene, and Net-Graphene

Spatially resolved direct gas-phase thermometry in chemical reactors using NMR

ESA s Cometary Mission Rosetta Re‐Characterization of the COSAC Mass Spectrometry

Electrochemical Methods for Exploiting Low-Temperature Heat Sources: Challenges in Material Research

Numerical simulation of shrinkage and deformation during sintering in metal binder jetting with experimental validation

Molecular diameters of rarefied gases

Open challenges and good experimental practices in the research field of aqueous Zn-ion batteries

Surface-initiated ring-opening polymerization of ε-caprolactone as a feasible approach to modify flax yarn

Equipping an extraterrestrial laboratory: Overview of open research questions and recommended instrumentation for the Moon

Separating microparticles by material and size using dielectrophoretic chromatography with frequency modulation

Cationic Carbene Analogues: Donor-Free Phosphenium and Arsenium Ions

A modeling approach for unveiling adsorption of toxic ions on iron oxide nanocrystals

Temperature increase on folded solar sail membranes

Efficient Thin Polymer Coating as a Selective Thermal Emitter for Passive Daytime Radiative Cooling

Crew self-organization and group-living habits during three autonomous, long-duration Mars analog missions

Particle-oriented peening as method to investigate the material dependent deformation behaviour

A Low-Pressure, N2/CO2 Atmosphere Is Suitable for Cyanobacterium-Based Life-Support Systems on Mars

High-Throughput Screening of Synergistic Transition Metal Dual-Atom Catalysts for Efficient Nitrogen Fixation

Electron-Induced Processing of Methanol Ice

Intermolecular conical intersections in molecular aggregates

Towards automation of wind energy rotor blade production: a review of challenges and application examples

Deconfinement of Mott localized electrons into topological and spin–orbit-coupled Dirac fermions

Influence of plasmon excitations on atomic-resolution quantitative 4D scanning transmission electron microscopy

Controlled Laser-Thinning of MoS2Nanolayers and Transformation to Amorphous MoOxfor 2D Monolayer Fabrication

Wet-spinning of magneto-responsivehelical chitosan microfibers

Nonlinear hydrodynamic instability and turbulence in pulsatile flow

Strong Macroscale Supercrystalline Structures by 3D Printing Combined with Self‐Assembly of Ceramic Functionalized Nanoparticles

Additive manufacturing of heavy rare earth free high-coercivity permanent magnets

Simulation-based evaluation of zeolite adsorbents for the removal of emerging contaminants

What Changes on the Inverse Catalyst? Insights from CO Oxidation on Au-Supported Ceria Nanoparticles Using Ab Initio Molecular Dynamics

nsCouette – A high-performance code for direct numerical simulations of turbulent Taylor–Couette flow

Lithium recovery from diluted brine by means of electrochemical ion exchange in a flow-through-electrodes cell

Pore-Scale Analysis of Axial and Radial Dispersion Coefficients of Gas Flow in Macroporous Foam Monoliths Using NMR-based Displacement Measurements

Model-Based Nanoengineered Pharmacokinetics of Iron-Doped Copper Oxide for Nanomedical Applications

Rare-Earth-Doped Y4Al2O9 Nanoparticles for Stable Light-Converting Phosphors

The Bis(ferrocenyl)phosphenium Ion Revisited

Beating Thermal Coarsening in Nanoporous Materials via High-Entropy Design

Rigid Band Shifts in Two-Dimensional Semiconductors through External Dielectric Screening

Coherent Real-Space Charge Transport across a Donor-Acceptor Interface Mediated by Vibronic Couplings

Wafer-Scale Synthesis of Graphene on Sapphire: Toward Fab-Compatible Graphene

Fast and Accurate Quantum Crystallography: From Small to Large, from Light to Heavy

Controlling the Multiscale Structure of Nanofibrous Fibrinogen Scaffolds for Wound Healing

Relativistic quantum crystallography of diphenyl- And dicyanomercury. Theoretical structure factors and Hirshfeld atom refinement

Living Materials Herald a New Era in Soft Robotics

Supervised non-negative matrix factorization methods for MALDI imaging applications

Layer-by-Layer Resistive Switching: Multistate Functionality due to Electric-Field-Induced Healing of Dead Layers

Quantum-Dot-Like States in Molybdenum Disulfide Nanostructures Due to the Interplay of Local Surface Wrinkling, Strain, and Dielectric Confinement

Mixed copper-zinc hexacyanoferrates as cathode materials for aqueous zinc-ion batteries

The Floppiness of It All: Bond Lengths Change with Atomic Displacement Parameters and the Flexibility of Various Coordination Tetrahedra in Zeolitic Frameworks. An Empirical Structural Study of Bond Lengths and Angles

Investigations on morphological and electrochemical changes of all-solid-state thin film battery cells under dynamic mechanical stress conditions

New approach to evaluate 3D laser printed parts in powder bed fusion-based additive manufacturing in-line within closed space

Pseudodoping of a metallic two-dimensional material by the supporting substrate

Prospects and Limitations of Transition Metal Dichalcogenide Laser Gain Materials

Hazard assessment of quinaldine-, alkylcarbazole-, benzene- and toluene-based liquid organic hydrogen carrier (LOHCs) systems

Ligand-functionalized Pt nanoparticles as asymmetric heterogeneous catalysts: molecular reaction control by ligand–reactant interactions

Structural and Computational Assessment of the Influence of Wet-Chemical Post-Processing of the Al-Substituted Cubic Li7La3Zr2O12

Tuning the Optoelectronic Properties of Stannoles by the Judicious Choice of the Organic Substituents

Al(OCArF3)3 – a thermally stable Lewis superacid

Biexciton fine structure in monolayer transition metal dichalcogenides

Visible-Light Photocatalysis with Mullite-Type Bi2(Al1–xFex)4O9: Striking the Balance between Bandgap Narrowing and Conduction Band Lowering

Bridging the scales in high- throughput dielectrophoretic (bio-) particle separation in porous media

Flame aerosol deposited Li4Ti5O12 layers for flexible, thin film all-solid-state Li-ion batteries

New Model for Predicting Adsorption of Polar Molecules in Metal–Organic Frameworks with Unsaturated Metal Sites

Generation of High‐Molecular‐Weight Polymers with Diverse Substituents: An Unusual Metal‐Free Synthesis of Poly(aminoborane)s

Investigation of the temperature dependent impact behaviour of pin reinforced foam core sandwich structures

The Dielectric Impact of Layer Distances on Exciton and Trion Binding Energies in van der Waals Heterostructures

A Monoaryllead Trichloride That Resists Reductive Elimination

A quantum optical study of thresholdless lasing features in high-β nitride nanobeam cavities

Pulsating dissolution of crystalline matter

Destabilizing turbulence in pipe flow

Long-term storage of droplets on a chip by Parylene AF4 coating of channels

Fabrication and performance of Li4Ti5O12/C Li-ion battery electrodes using combined double flame spray pyrolysis and pressure-based lamination technique

Exciton fission in monolayer transition metal dichalcogenide semiconductors

MICROSCOPE Mission: First Results of a Space Test of the Equivalence Principle

Quantitative determination of residual silver distribution in nanoporous gold and its influence on structure and catalytic performance

Microbial-based metalworking fluids in milling operations

A comparative study of alcohol oxidation over nanoporous gold in gas and liquid phase

Structural and spectroscopic comparison between polycrystalline, nanocrystalline and quantum dot visible light photo-catalyst Bi2WO6

The cubic-to-hexagonal phase transition of cerium oxide particles: dynamics and structure

Insight into the Mechanism of Reversible Ring-Opening of 1,3‑Benzoxazine with Thiols

Simultaneous Acquisition of the Polarized and Depolarized Raman Signal with a Single Detector

Time resolved impedance spectroscopy analysis of lithium phosphorous oxynitride - LiPON layers under mechanical stress

An analytical multilayer source stress approach for the modelling of material modifications in machining

Tunable Bragg polaritons and nonlinear emission from a hybrid metal-unfolded ZnSe-based microcavity

Colloidal capsules: nano- and microcapsules with colloidal particle shells

Growth and structure of ultrathin praseodymium oxide layers on ruthenium(0001)

Nanoparticles for radiooncology: Mission, vision, challenges

Safe-by-Design CuO Nanoparticles via Fe-Doping, Cu–O Bond Length Variation, and Biological Assessment in Cells and Zebrafish Embryos

Observation of a hybrid state of Tamm plasmons and microcavity exciton polaritons

Repetitive Dosing of Fumed Silica Leads to Profibrogenic Effects through Unique Structure−Activity Relationships and Biopersistence in the Lung

Self-Assembly and Shape Control of Hybrid Nanocarriers Based on Calcium Carbonate and Carbon Nanodots

Directed percolation phase transition to sustained turbulence in Couette flow

A concept for direct deposition of thin film batteries on flexible polymer substrate

Hydrogen atoms can be located accurately and precisely by x-ray crystallography

Novel Excitonic Solar Cells in Phosphorene-TiO2 Heterostructures with Extraordinary Charge Separation Efficiency

Giant photon bunching, superradiant pulse emission and excitation trapping in quantum-dot nanolasers

Growth and characterization of epitaxially stabilized ceria(001) nanostructures on Ru(0001)

Decrease of the required dopant concentration for δ-Bi2O3 crystal stabilization through thermal quenching during single-step flame spray pyrolysis

Controlling Heteroepitaxy by Oxygen Chemical Potential: Exclusive Growth of (100) Oriented Ceria Nanostructures on Cu(111)

Hierarchical Porous Zeolite Structures for Pressure Swing Adsorption Applications

Two-Dimensional Heterojunctions from Nonlocal Manipulations of the Interactions

Thermodynamically consistent continuum dislocation dynamics

Unraveling the Dynamic Nanoscale Reducibility (Ce4+ → Ce3+) of CeOx–Ru in Hydrogen Activation

Tetrahedral Tetraphosphonic Acids. New Building Blocks in Supramolecular Chemistry

Water adsorption in SAPO-34: elucidating the role of local heterogeneities and defects using dispersion-corrected DFT calculations

Tuning emergent magnetism in a Hund's impurity

Nanoscale Origin of Mesoscale Roughening: Real-Time Tracking and Identification of Three Distinct Ruthenium Oxide Phases in Ruthenium Oxidation

Modulation of Silica Nanoparticle Uptake into Human Osteoblast Cells by Variation of the Ratio of Amino and Sulfonate Surface Groups: Effects of Serum

Proximity enhanced quantum spin Hall state in graphene

Dinuclear Face-Sharing Bi-octahedral Tungsten(VI) Core and Unusual Thermal Behavior in Complex Th Tungstates

Phonon-pump extreme-ultraviolet-photoemission probe in graphene: Anomalous heating of dirac carriers by lattice deformation

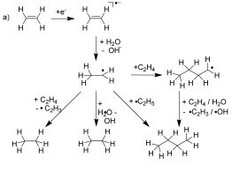
Electron-Induced Hydration of an Alkene: Alternative Reaction Pathways

Robust Two-Dimensional Topological Insulators in Methyl-Functionalized Bismuth, Antimony, and Lead Bilayer Films

Electronic structures and optical properties of partially and fully fluorinated graphene

Two-dimensional Cu2Si monolayer with planar hexacoordinate copper and silicon bonding

Bifunctional Submicron Colloidosomes Coassembled from Fluorescent and Superparamagnetic Nanoparticles

Atomic electric fields revealed by a quantum mechanical approach to electron picodiffraction
MAPEX Emailverteiler
Sie möchten, dass wir Sie über alle MAPEX Aktivitäten auf dem Laufenden halten? Melden Sie sich für einen unserer Emailverteiler an:
| für Studierende | für Promovierende | für Postdotorand*innen | allgemeine Informationen |
| Anmeldung MAPEX Student | Anmeldung MAPEX PhD | Anmeldung MAPEX PostDoc | Anmeldung MAPEX INFO |


























